基于模板匹配的格栅灯纠偏算法在光学亮色度检测中的应用

基于模板匹配的格栅灯纠偏算法在光学亮色度检测中的应用

在智能汽车飞速发展的今天,汽车格栅灯早已突破传统照明的边界。它不仅是照亮前路的明灯,更是彰显车辆独特个性的美学符号、传递前沿科技魅力的视觉语言,以及实现人车深度互动的智能媒介,在汽车设计与功能领域扮演着愈发关键的角色。

随着格栅灯被越来越多的车型应用,主机厂和供应商也在大力投入,目前的格栅灯不仅仅在生产方面,对于前格栅灯的亮度色度均匀性要求也随之而来,如果灯光的亮度不同,色温有差距,格栅灯就会起到反作用,使整个汽车产生廉价感,所以格栅灯的亮度和色度检测尤为重要。

但在产线上检测格栅灯产品时,受各种外部因素影响,常会出现位置偏移,与布点产生偏差,进而影响检测精度。鉴于此,高效精准的格栅灯纠偏技术成为行业发展的重要需求。基于模板匹配的格栅灯纠偏算法应运而生,为光学亮色度检测领域带来了全新的解决方案,有效提升了检测精度与效率,助力行业发展。

一、算法原理

模板匹配是计算机视觉领域的基础算法,其核心思想是通过在输入图像中滑动模板图像,比较二者在不同位置的相似度,从而找到与模板最匹配的区域。在格栅灯纠偏算法中,标准状态下的格栅灯图像被作为模板,待检测图像则是包含实际安装格栅灯的图像。

算法通过计算模板与待检测图像不同区域的相似度得分来确定格栅灯的实际位置和姿态。常见的相似度度量方法有平方差匹配、归一化平方差匹配、相关系数匹配和归一化相关系数匹配等。其中,归一化相关系数匹配对光照变化具有较强的鲁棒性,在光学亮色度检测场景中应用广泛。它通过计算模板与子图像像素值的归一化相关系数,得出二者的相似程度,系数越接近 1,表示匹配度越高。

二、算法实现流程

(一)图像预处理

在获取待检测图像后,首先需要对其进行预处理。由于光学亮色度检测环境中可能存在光线干扰、灰尘等因素,导致图像存在噪声或对比度不足的问题。因此,通过灰度化处理将彩色图像转换为灰度图像,减少计算量;使用高斯模糊等滤波操作去除噪声,平滑图像;再通过直方图均衡化增强图像的对比度,使格栅灯的特征更加明显,为后续的模板匹配提供高质量的图像数据。

(二) 相似度度量方法

给定输入图像 I(x,y) 和模板 T(x,y),其中 (x,y) 表示像素坐标。模板匹配的目标是找到图像 I 中与模板 T 最相似的区域。

(1) 平方差匹配 (SSD)

(1)

• 特点:值越小表示匹配度越高,计算简单但对光照变化敏感。

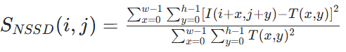
(2) 归一化平方差匹配 (NSSD)

(2)

• 特点:对光照强度变化有一定鲁棒性。

(3) 相关系数匹配 (CC)

(3)

• 特点:值越大表示匹配度越高,但对光照强度变化敏感。

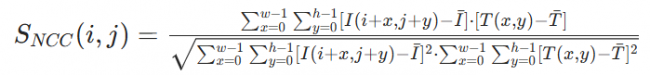
(4) 归一化相关系数匹配 (NCC)

(4)

其中 I 和 Tˉ 分别是图像区域和模板的均值。

• 特点:取值范围为 [-1,1],1 表示完美匹配,对光照变化具有较强鲁棒性,是最常用的方法之一。

(三)多尺度模板匹配

格栅灯在实际安装过程中,可能存在不同程度的缩放和旋转。为了准确检测出各种姿态下的格栅灯,采用多尺度模板匹配方法。通过构建不同尺度的模板图像,并在待检测图像上进行多尺度滑动匹配,计算每个位置的相似度得分。这样可以在不同尺度下找到与模板最匹配的区域,确定格栅灯的大致位置和缩放比例。

(四)特征点提取与匹配

在通过多尺度模板匹配确定格栅灯的大致区域后,进一步采用特征点提取算法,如 ORB(OrientedFAST and Rotated BRIEF)算法,提取模板图像和待检测图像中格栅灯区域的特征点。这些特征点包含了格栅灯的关键几何信息。然后,利用特征点匹配算法,如暴力匹配(Brute-Force Matcher),将模板图像和待检测图像的特征点进行匹配,找到准确的对应关系,从而更精确地确定格栅灯的位置和姿态。

(五)变换参数估计与纠偏

根据匹配得到的特征点对,使用单应性矩阵计算方法,如 RANSAC(Random Sample Consensus)算法,估计出待检测图像中格栅灯相对于模板图像的变换参数,包括旋转角度、平移量和缩放因子。这些参数能够准确描述格栅灯的安装偏差情况。最后,根据计算得到的变换参数,对格栅灯进行相应的调整,实现精准纠偏。

三、算法优势

(一)高精度

基于模板匹配的格栅灯纠偏算法通过多尺度匹配和特征点精确匹配,能够准确捕捉格栅灯的细微偏差,实现高精度的纠偏操作。相比传统手动布点,其精度得到了极大提升,有效保障了光学亮色度检测的准确性。

(二)高效性

该算法实现了自动化处理,从图像获取到纠偏完成,无需人工过多干预,大大缩短了校准时间,提高了检测效率,满足了工业生产中对检测速度的要求。

(三)鲁棒性强

算法采用归一化相关系数匹配等方法,对光照变化、噪声等干扰因素具有较强的抵抗能力,能够在复杂的光学检测环境中稳定工作,保证纠偏结果的可靠性。

四、实际应用与效果

在某光学检测设备生产企业的实际应用中,基于模板匹配的格栅灯纠偏算法取得了显著成效。在引入该算法之前,人工手动布点格栅灯不仅耗时久,而且检测数据波动较大,难以满足高精度的检测需求。引入该算法后,单台设备的格栅灯配置时间从原来的 30 分钟缩短至 5 分钟以内,检测数据的稳定性和准确性大幅提升,产品的不合格率降低了 30%,有效提高了企业的生产效率和产品质量。

基于模板匹配的格栅灯纠偏算法凭借其高精度、高效性和强鲁棒性的优势,在光学亮色度检测领域展现出巨大的应用潜力。随着计算机视觉技术的不断发展和完善,该算法有望在更多相关领域得到拓展和应用,为光学检测行业的发展提供强有力的技术支持。